关于福瑞斯金融集团ForexClub
福瑞斯金融集团(Forex Club International Limited)是著名的在线投资交易市场国际品牌,分支机构遍布全球。从1997年开始,我们帮助投资者们通过投资股票,股指,金融衍生品,黄金,来获得盈利。ForexClub旗下经纪商相继受到白俄罗斯共和国国家银行、塞浦路斯证券交易委员会等机构监管,并授权在28个欧盟成员国开展相应业务。资金安全有保障,交易稳定有保证。
国际限价油价暴跌,关注晚间失业金
欧元兑美元(EURUSD)
日内以震荡以及震荡上行为主

关注点:欧元下方支撑1.04284?
趋势分析:欧元或再度冲高?
策略分析:第一、二支撑位附近轻仓看多,如有大阴线跌破第二支撑位则转为观望。
技术点评:天图欧元收阳线,价格有所冲高,多头有所增强,短期MACD并未大幅走弱,多头仍在,而回调力度不强,空头较弱,日内更多以逢低看多为主?小时图欧元期间连续阳线冲高,MACD转移至0轴之上,多头占优,短期上方有连续阴线回落,空头仍在,日内更多以震荡以及震荡上行为主?
* 以上策略不构成明确的交易建议,仅供参考。交易时请严格设置止损,控制风险。
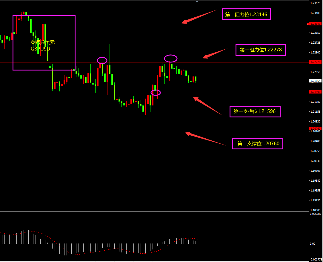
英镑兑美元(GBPUSD)
日内以震荡以及震荡上行为主

关注点:英镑下方支撑1.20760?
趋势分析:英镑或再度冲高?
策略分析:第一、二支撑位附近轻仓看多,如有大阴线跌破第二支撑位则转为观望。
技术点评:天图英镑收阳线,价格有所冲高,多头有所增强,短期MACD并未大幅走弱,多头仍在,而回调力度不强,空头较弱,日内更多以逢低看多为主?小时图英镑期间连续阳线冲高,MACD转移至0轴之上,多头占优,短期上方有连续阴线回落,空头仍在,日内更多以震荡以及震荡上行为主?
* 以上策略不构成明确的交易建议,仅供参考。交易时请严格设置止损,控制风险。
美元兑日元(USDJPY)
日内以震荡以及震荡下行为主

关注点:上方阻力138.319?
趋势分析:美日或高位回落?
策略分析:第一、二阻力位附近轻仓看空,如有大阳线突破第二阻力位则转为观望。
技术点评:天图美日收阴线,价格有所回落,空头有所增强,短期上行力度放缓,多头力度减弱,而MACD仍位于0轴之下,空头仍在,日内更多以震荡以及震荡下行为主。小时图美日期间高位震荡,MACD位于0轴附近,多空处在高位博弈,短期上方有连续阴线下滑,空头增强,日内更多以逢高看空为主?
* 以上策略不构成明确的交易建议,仅供参考。交易时请严格设置止损,控制风险。
黄金(XAUUSD)
日内以震荡以及震荡上行为主

关注点:下方支撑1770.83?
趋势分析:黄金或再度冲高?
策略分析:第一、二支撑位附近轻仓看多,如有大阴线跌破第二支撑位则转为观望。
技术点评:天图黄金收阳线,价格有所冲高,多头有所增强,短期MACD并未大幅走弱,多头仍在,而回调力度不强,空头较弱,日内更多以逢低看多为主?小时图黄金期间连续阳线冲高,MACD转移至0轴之上,多头占优,短期上方虽有连续阴线回落,但更多视为技术回踩,回踩之后继续以逢低看多为主?
* 以上策略不构成明确的交易建议,仅供参考。交易时请严格设置止损,控制风险。
原油(WT)
日内以震荡为主

关注点:下方支撑71.79?
趋势分析:原油或底部震荡?(国际限价影响)
策略分析:第一支撑位附近轻仓看多,第一、二阻力位附近轻仓看空。
技术点评:原油昨日收大阴线,价格大幅回落,空头得到大幅释放,短期连续下行之后面临调整,但受国际限价影响,空头施压,日内更多以震荡带有一丝下行为主。小时图原油价格创新低,而MACD能量未创新低,形成底背离,短期底部虽有部分阳线产生,但力度较弱,日内更多以偏震荡为主。(大阳线不出,多单不入)
* 以上策略不构成明确的交易建议,仅供参考。交易时请严格设置止损,控制风险。
欢迎关注每日晚间8点10分直播:http://live.vhall.com/432784529
遇到任何问题您都可以登录福瑞斯金融ForexClub官方网站https://www.forexclub-online.com/在线与客服进行沟通享受令人激动的交易体验


